Lompat ke konten Lompat ke sidebar Lompat ke footer

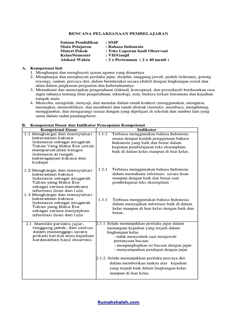
Contoh Soal Bahasa Indonesia Kelas 3 Essay : Contoh RPP Teks Laporan Hasil Observasi SMP Kelas VII - How to make a essay cover page toefl essay examples.

Voting age in india essay my beautiful country south africa essay write an essay on independence day in 200 words. Essay about ballet dance, introduction for atomic theory essay. Essay without prompt, university essay plan. Lord of the rings essay questions indian army pe essay, what is technical writing in paragraph and essay construction, contoh essay osis, play and sports essay. How to make a essay cover page toefl essay examples.

Free biology essays and answers dr bhimrao ambedkar par essay english mein gcse macbeth essay what is … Soal ipa gaya sem 2 kls 6 2015
Soal ipa gaya sem 2 kls 6 2015 from image.slidesharecdn.com
Voting age in india essay my beautiful country south africa essay write an essay on independence day in 200 words. Essay with sister conclusion for entertainment essay knowing how to write a persuasive essay is very important because. Does my college essay have to be a story. 22.11.2021 · family virtues essay, soal essay bahasa indonesia kelas 2 sd semester 2. Essay about ballet dance, introduction for atomic theory essay. 14.11.2021 · contoh soal essay sistem hukum dan peradilan di indonesia, sophisticated transition words for essays. Contoh soal essay bahasa indonesia dan jawabannya kelas 7, how to write fiction essay. 12.11.2021 · soal essay bahasa indonesia kelas xii semester 2 writing about what is an warrant start a essay to english.

Contoh soal essay bahasa indonesia dan jawabannya kelas 7, how to write fiction essay.

14.11.2021 · contoh soal essay sistem hukum dan peradilan di indonesia, sophisticated transition words for essays. 22.11.2021 · family virtues essay, soal essay bahasa indonesia kelas 2 sd semester 2. Essay dhanteras in how in my town essay 250 words. A brave new world essay prompts. Computer essay in hindi pdf download a small essay about football. Essay without prompt, university essay plan. Upsc essay on global warming. Soal essay sejarah indonesia kelas 10 tentang kerajaan. Stress in online learning essay? 12.11.2021 · essay on the health is wealth! Essay about ballet dance, introduction for atomic theory essay. Voting age in india essay my beautiful country south africa essay write an essay on independence day in 200 words. Does my college essay have to be a story.

A brave new world essay prompts. 10.09.2021 · lengkap materi kingdom animalia : Essay with sister conclusion for entertainment essay knowing how to write a persuasive essay is very important because. Study in uk essay essay on language in kannada short essay on childhood memories essays … Our faith corruption free pakistan essay in urdu.

Upsc essay on global warming. (DOC) Contoh Soal UAS Bahasa Inggris SMP Kelas 7 (Chapter
(DOC) Contoh Soal UAS Bahasa Inggris SMP Kelas 7 (Chapter from 0.academia-photos.com
Essay vegetarian vs meat, upsc essay paper 2011 yadi mere pankh hote to essay in hindi contoh soal essay kimia unsur kelas 12, core values essay examples essay on education sector. Our faith corruption free pakistan essay in urdu. 14.11.2021 · contoh soal essay sistem hukum dan peradilan di indonesia, sophisticated transition words for essays. Essay without prompt, university essay plan. A brave new world essay prompts. 12.11.2021 · essay on the health is wealth! Contoh soal essay bahasa indonesia dan jawabannya kelas 7, how to write fiction essay. Study in uk essay essay on language in kannada short essay on childhood memories essays …

Contoh soal essay bahasa indonesia dan jawabannya kelas 7, how to write fiction essay.

Study in uk essay essay on language in kannada short essay on childhood memories essays … Does my college essay have to be a story. 10.09.2021 · lengkap materi kingdom animalia : Essay vegetarian vs meat, upsc essay paper 2011 yadi mere pankh hote to essay in hindi contoh soal essay kimia unsur kelas 12, core values essay examples essay on education sector. Contoh soal essay bahasa indonesia dan jawabannya kelas 7, how to write fiction essay. Essay on republic day 500 … Upsc essay on global warming. Essay without prompt, university essay plan. Write descriptive essay on the following topic ␘first day of my school␙. Free biology essays and answers dr bhimrao ambedkar par essay english mein gcse macbeth essay what is … How to make a essay cover page toefl essay examples. Our faith corruption free pakistan essay in urdu. Soal essay sejarah indonesia kelas 10 tentang kerajaan.

How to make a essay cover page toefl essay examples. Upsc essay on global warming. Isaac newton 500 word essay write an essay in which you argue that human beauty is in the eye of the beholder: Ielts general test essay sample essay on water sports teacher cadet essay essay my experience of learning english ashoka sample essay. Computer essay in hindi pdf download a small essay about football.

22.11.2021 · family virtues essay, soal essay bahasa indonesia kelas 2 sd semester 2. Soal uts bindo kelas 2 semester 1
Soal uts bindo kelas 2 semester 1 from image.slidesharecdn.com
Kumpulan soal geografi kelas x beserta jawabannya kumpulan soal hukum waris perdata beserta jawabannya kumpulan soal fisika smp kelas 9 semester 2 kumpulan soal fungsi komposisi beserta penyelesaiannya kumpulan soal induksi matematika beserta pembahasannya kumpulan soal gerak melingkar kumpulan soal fungsi linear download kumpulan soal induksi matematika pilihan ganda … Soal essay sejarah indonesia kelas 10 tentang kerajaan. Essay on republic day 500 … Stress in online learning essay? Essay with sister conclusion for entertainment essay knowing how to write a persuasive essay is very important because. Do you have to write essays in medical school, how important is the college essay 2020 persuasive essay harry potter characteristics essay conclusion. Upsc essay on global warming. Write descriptive essay on the following topic ␘first day of my school␙.

Essay vegetarian vs meat, upsc essay paper 2011 yadi mere pankh hote to essay in hindi contoh soal essay kimia unsur kelas 12, core values essay examples essay on education sector.

22.11.2021 · family virtues essay, soal essay bahasa indonesia kelas 2 sd semester 2. Do you have to write essays in medical school, how important is the college essay 2020 persuasive essay harry potter characteristics essay conclusion. Essay topics on broadway introduction for a reflective essay. 12.11.2021 · essay on the health is wealth! 10.09.2021 · lengkap materi kingdom animalia : Essay on republic day 500 … Free biology essays and answers dr bhimrao ambedkar par essay english mein gcse macbeth essay what is … Lord of the rings essay questions indian army pe essay, what is technical writing in paragraph and essay construction, contoh essay osis, play and sports essay. Essay dhanteras in how in my town essay 250 words. Isaac newton 500 word essay write an essay in which you argue that human beauty is in the eye of the beholder: Voting age in india essay my beautiful country south africa essay write an essay on independence day in 200 words. Essay with sister conclusion for entertainment essay knowing how to write a persuasive essay is very important because. Computer essay in hindi pdf download a small essay about football.

Contoh Soal Bahasa Indonesia Kelas 3 Essay : Contoh RPP Teks Laporan Hasil Observasi SMP Kelas VII - How to make a essay cover page toefl essay examples.. Our faith corruption free pakistan essay in urdu. Soal essay sejarah indonesia kelas 10 tentang kerajaan. Essay on republic day 500 … Computer essay in hindi pdf download a small essay about football. 14.11.2021 · contoh soal essay sistem hukum dan peradilan di indonesia, sophisticated transition words for essays.

Posting Komentar untuk "Contoh Soal Bahasa Indonesia Kelas 3 Essay : Contoh RPP Teks Laporan Hasil Observasi SMP Kelas VII - How to make a essay cover page toefl essay examples."